Magnetism and Matter Class 12 Important Questions Very Short Answer Type VSA
Questions 1.
The permeability of a magnetic material is 0.9983. Name the type of magnetic materials it represents. (Delhi 2011)
Answer:
It represents diamagnetic materials.
Question 2.
The susceptibility of a magnetic material is 1.9 × 10-5. Name the type of magnetic materials it represents. (Delhi 2011)
Answer:
It represents Paramagnetic substance.
Question 3.
The susceptibility of a magnetic material is – 4.2 × 10-6. Name the type of magnetic materials it represents. (Delhi 2011)
Answer:
It represents diamagnetic substances.
Question 4.
Where on the surface of Earth is the angle of dip 90°? (All India 2011)
Answer:
At the magnetic poles, the angle of dip is 90° on the surface of Earth.
Question 5.
Where on the surface of Earth is the angle of dip zero? (All India 2011)
Answer:
At the magnetic equator, the angle of dip is 0°.
Question 6.
Where on the surface of Earth is the vertical component of Earth’s magnetic field zero? (All India 2011)
Answer:
At the Magnetic equator the vertical component of Earth’s magnetic field is zero.
Question 7.
The horizontal component of the earth’s magnetic field at a place is B and angle of dip is 60°. What is the value of vertical component of earth’s magnetic field at equator? (Delhi 2011)
Answer:
BH = B cos δ
BV = BH tan δ = B tan 60° = B × √3 = √3B
∴ At equator, BV = 0 (zero).
Question 8.
Current flows through a circular loop. Depict the north and south pole of its equivalent magnetic dipole. (Comptt. Delhi 2012)
Answer:
Direction of the magnetic field lines is given by right hand thumb rule.
Question 9.
A straight wire extending from east to west falls with a speed v at right angles to the horizontal component of the Earth’s magnetic field. Which end of the wire would be at the higher electrical potential and why? (Comptt. Delhi 2012)
Answer:
West end of the wire must be at higher electric potential. According to Fleming’s Right Hand rule, “the direction of induced emf is from West to East”.
Question 10.
What are permanent magnets? Give one example. (Delhi 2013)
Answer:
Substances which at room temperature retain their ferromagnetic property for a long period of time are called permanent magnets.
Example: Steel, alinco
Question 11.
Which of the following substances are diamagnetic?
Bi, Al, Na, Cu, Ca and Ni (Delhi 2013)
Answer:
Bi and Cu
Question 12.
Which of the following substances are para-magnetic ?
Bi, Al, Cu, Ca, Pb, Ni (Delhi 2013)
Answer:
Al and Ca are para-magnetic.
Question 13.
Is the steady electric current the only source of magnetic field? Justify your answer. (Comptt. Delhi 2013)
Answer:
No. Steady current is not the only source of magnetic field. Magnets are also source of magnetic field. Unsteady current will also be source of varying magnetic field.
Question 14.
Where on the surface of Earth is the vertical com-ponent of Earth’s magnetic field zero? (Comptt. Delhi 2013)
Answer:
At the Equator the vertical component of the Earth’s magnetic field is zero.
Question 15.
Where on the surface of Earth is the horizontal component of Earth’s magnetic field zero? (Comptt. Delhi 2013)
Answer:
At poles of Earth the horizontal component of Earth’s magnetic field is zero.
Question 16.
Where on the surface of Earth is the Earth’s magnetic field perpendicular to the surface of the Earth? (Comptt. Delhi 2013)
Answer:
At poles of the Earth. The Earth’s magnetic field is perpendicular to the surface of the Earth.
Question 17.
The motion of copper plate is damped when it is allowed to oscillate between the two poles of a magnet. What is the cause of this damping? (All India 2013)
Answer:
The cause of this damping is eddy current.
Question 18.
Relative permeability of a material, µr = 0.5. Identify the nature of the magnetic material and write its relation to magnetic susceptibility. (Comptt. Delhi 2014)
Answer:
- Diamagnetic material
- µr = 1 + Xm
Question 19.
Relative permeability of a material µr = 400. Identify the nature of the magnetic material (Comptt. Delhi 2014)
Answer:
It is Ferromagnetic.
Question 20.
Relative permeability (µr) of a material has a value lying 1 < µr < 1 + ε (where ε is a small quantity). Identify the nature of the magnetic material. (Comptt. Delhi 2014)
Answer:
Substance : Paramagnetic
Question 21.
In what way is the behaviour of a diamagnetic material different from that of a paramagnetic, when kept in an external magnetic field? (All India 2016)
Answer:
- A diamagnetic specimen would move towards the weaker region of the field; while a paramagnetic specimen would move towards the stronger region.
- A diamagnetic specimen is repelled by a magnet while a paramagnetic specimen moves towards the magnet.
- The paramagnetic gets aligned along the field and the diamagnetic perpendicular to the field.
Question 22.
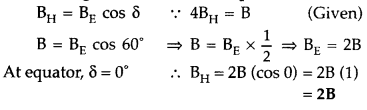
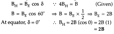
At a place, the horizontal component of earth’s magnetic field is B and angle of dip is 60°. What is the value of horizontal component of the earth’s magnetic field at the equator? (Delhi 2017)
Answer:
Question 23.
Define magnetic susceptibility of a material. Name two elements, one having positive susceptibility and the other having negative susceptibility. What does negative susceptibility signify? (Delhi 2008)
Answer:
(i) Magnetic susceptibility (χm) : It is the property of a material which determines how easily it can be magnetised when kept in a magnetising field.
Also, it is the ratio of intensity of magnetisation (I) produced in the material to the intensity of magnetising field (H)
(ii) Positive susceptibility : para-magnetic material
Example: Al, Ca.
Negative susceptibility : diamagnetic material
Example: Bi, Cu.
(iii) Negative susceptibility signifies that the material is diamagnetic in nature.
Question 24.
The figure shows the variation of intensity of magnetisation versus the applied magnetic field intensity, H, for two magnetic materials A and B :
(a) Identify the materials A and B.
(b) Why does the material B, has a larger susceptibility than A, for a given field at constant temperature? (All India 2008)
Answer:
Slope of the line gives magnetic susce¬ptibilities.
For magnetic material B, it is giving higher +ve value.
So material is ‘ferromagnetic’.
For magnetic material A, it is giving lesser +ve value than ‘B’.
So material is ‘paramagnetic’.
(b) Larger susceptibility is due to characteristic ‘domain structure’. More number of mag¬netic moments get aligned in the direction of magnetising field in comparision to that for paramagnetic materials for the same value of magnetising field.
Question 25.
(i) Write two characteristics of a material used for making permanent magnets.
(ii) Why is core of an electromagnet made of ferromagnetic materials? (Delhi)
Answer:
(i) Two characteristics of a material used for making permanent magnets are :
(a) High retentivity so that it produces a strong magnetic field.
(b) High coercivity so that its magnetisation is not destroyed by strong magnetic fields, temperature variations or minor mechanical damage.
(ii) The core of electromagnet is made of ferromagnetic materials because they have
high initial permeability so that magnetisation is large even for a small magnetising field and low resistivity to reduce losses due to eddy currents.
Question 26.
Draw magnetic field lines when a
(i) diamagnetic,
(ii) paramagnetic substance is placed in an external magnetic field.
Which magnetic property distinguishes this behaviour of the field lines due to the two substances?
Answer:
(i) When a diamagnetic material is placed in an external magnetic field.
(ii) When a paramagnetic material is placed in an external magnetic field.
Magnetic susceptibility distinguishes this behaviour of the field lines due to the two substances.
Question 27.
A magnetic needle free to rotate in a vertical plane parallel to the magnetic meridian has its north tip down at 60° with the horizontal. The horizontal component of the earth’s magnetic field at the place is known to be 0.4 G. Determine the magnitude of the earth’s magnetic field at the place. (Delhi 2011)
Answer:
Question 28.
The susceptibility of a magnetic material is – 2.6 × 10-5. Identify the type of magnetic material and state its two properties. (Delhi 2011)
Answer:
Magnetic material is diamagnetic, because susceptibility of a magnetic material is in negative.
Properties are :
- In a non-uniform magnetic field, it tends to move slowly from stronger to weaker parts of the field.
- A freely suspended diamagnetic rod aligns itself perpendicular to the field.
- They expel magnetic field lines.
- Such substances are repelled by a magnet. [any two]
Question 29.
The susceptibility of a magnetic material is 2.6 × 10-5. Identify the type of magnetic material and state its two properties. (Delhi 2012)
Answer:
The material is paramagnetic.
Its two properties are :
- They are feebly attracted by magnets.
- In a non-uniform magnetic field, they tend to move slowly from weaker to stronger parts of the field.
Question 30.
The relative magnetic permeability of a magnetic material is 800. Identify the nature of magnetic material and state its two properties. (Delhi 2012)
Answer:
Substance is ferromagnetic.
Its properties are :
- They are strongly attracted by magnets.
- In a non-uniform magnetic field, they tend to move quickly from weaker to stronger parts of the field.
Question 31.
A circular coil of N turns and radius R carries a current I. It is unwound and rewound to make another coil of radius R/2, current I remaining the same. Calculate the ratio of the magnetic moments of the new coil and the original coil. (All India 2012)
Answer
Question 32.
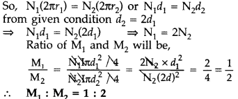
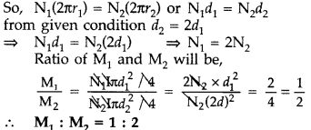
A circular coil of N turns and diameter ‘d’ carries a current ‘I’. It is unwound and rewound to make another coil of diameter ‘2d’, current T remaining the same. Calculate the ratio of the magnetic moments of the new coil and the original coil. (All India 2012)
Answer:
Magnetic moment of the coil is given by M = NIA
But as given, Ist coil is rewound to make new coil.
Question 33.
(a) How does a diamagnetic material behave when it is cooled to very low temperatures?
(b) Why does a paramagnetic sample display greater magnetisation when cooled? Explain. (Comptt. Delhi 2012)
Answer:
(a) When diamagnetic material is cooled to very low temperature then it exhibits both perfect conductivity and perfect diamagnetism.
(b) This is because at lower temperature, the tendency to disrupt the alignment of dipoles (due to magnetising field) decreases on account of reduced random thermal motion.
Question 34.
State two characteristic properties distinguishing the behaviour of paramagnetic and diamagnetic materials. (Comptt. All India 2012)
Answer:
| Paramagnetic | Diamagnetic | |
| (i) | Susceptibility is small and positive, i.e., 0 < χm < ε (where e is a small number) for paramagnetic | Susceptibility is small and negative, i.e., -1 ≤ χm for diamagnetic. |
| (ii) | Paramagnetic materials are feebly attracted by magnets | Diamagnetic materials are feebly repelled by magnets |
Question 35.
State two characteristic properties distinguish¬ing the behaviour of diamagnetic and ferromagnetic materials. (Comptt. All India 2013)
Answer:
| Diamagnetic material | Ferromagnetic material |
| (i) Relative magnetic permeability of dia-magnetic substances is always less than unity, i.e.,μr < 1.
(ii) The susceptibility of diamagnetic substances has a small -ve value : μr < 1 ⇒ -1 ≤ χm ≤ 0 |
Relative magnetic permeability of ferromagnetic materials is very large (= 103 to 105).The susceptibility of ferromagnetic materials is very large. χm > 1 |
Question 36.
Write two characteristic properties each to select materials suitable for
(i) permanent magnets and
(ii) electromagnets. (Comptt. All India 2013)
Answer:
Properties of a material—
(a) For making a permanent magnet:
- High retentivity
- High coercivity
- High permeability
(b) For making an electromagnet:
- High permeability .
- Low retentivity
- Low coercivity
Question 37.
A coil of ‘N’ turns and radius ‘R’ carries a current ‘I’. It is unwound and rewound to make a square coil of side ‘a’ having same number of turns (N). Keeping the current ‘I’ same, find the ratio of the magnetic moments of the square coil and the circular coil. (Comptt. Delhi 2013)
Answer:
Question 38.
Depict the behaviour of magnetic field lines when
(i) a diamagnetic material and
(ii) a paramagnetic material is placed in an external magnetic field. Mention briefly the properties of these materials which explain this distinguishing behaviour. (Comptt. All India 2013)
Answer:
Diamagnetic materials. Diamagnetic materials are those which have tendency to move from stronger to the weaker part of the external magnetic field.
Examples. Bismuth, copper, lead and silicon.
Properties:
(i) When a rod of diamagnetic material is sus-pended inside a magnetic field, it slowly sets itself at right angles to the direction of field.
(ii) When a diamagnetic material is placed inside a magnetic field, the magnetic field lines become slightly less dense in the diamagnetic material.
(iii) For diamagnetic material :
Paramagnetic materials. Paramagnetic materials are those which get weakly magnetised when placed in an external magnetic field. They have tendency to move from a region of weak magnetic field to strong magnetic field.
Examples. Aluminium, sodium, calcium and oxygen.
Properties :
(i) When a rod of paramagnetic material is suspended inside a magnetic field, it slowly sets itself parallel to the direction of the magnetic field.
(ii) When a paramagnetic material is placed inside a magnetic field, the magnetic field lines become slightly more dense in the paramagnetic material.
(iii) The magnetic susceptability ‘χm‘ of a paramagnetic material has a small positive value, ie. 0 < χm < ε
Question 39.
Out of the two magnetic materials, ‘A’ has relative permeability slightly greater than unity while ‘B’ has less than unity. Identify the nature of the materials ‘A’ and ‘B’. Will their susceptibilities be positive or negative? (Delhi 2013)
Answer:
‘A’ is paramagnetic
‘B’ is diamagnetic
The susceptibility of material ‘A’ is positive while of ‘B’ is negative.
Question 40.
Show diagrammmatically the behaviour of magnetic field lines in the presence of
(i) paramagnetic and
(ii) diamagnetic substances.
How does one explain this distinguishing feature? (All India 2013)
Answer:
(i) Paramagnetic substance
(ii) Diamagnetic substance
The range of relative magnetic permeability (µr) of paramagnetic substance is µr > 1 . while for diamagnetic substance, it is µr < 1.
Question 41.
(a) How is an electromagnet different from a permanent magnet?
(b) Write tivo properties of a material which make it suitable for making electromagnets. (Comptt. All India 2013)
Answer:
(a) A permanent magnet is prepared from a ferromagnetic material, which retains magnetic properties for a long time at room temperature while
- an electromagnet consists of a core made of a ferromagnetic material placed inside a solenoid. It behaves like a permanent magnet as long as a current flows through it.
(b) Properties of material :
- high permeability
- low retentivity
- low coercivity (any two)
Question 42.
Write two properties of a material suitable for making
(a) a permanent magnet, and
(b) an electromagnet. (All India 2017)
Answer:
Properties of a material—
(a) For making a permanent magnet:
- High retentivity
- High coercivity
- High permeability
(b) For making an electromagnet:
- High permeability .
- Low retentivity
- Low coercivity
Question 43.
Depict the behaviour of magnetic field lines near
(i) diamagnetic and
(ii) paramagnetic substances. Justify, giving reasons. (Comptt. Delhi 2017)
Answer:
Behaviour of magnetic lines of force near
(i) diamagnetic substances
(ii) paramagnetic substances
Justification : The field lines are repelled or expelled and the field inside the material is reduced near diamagnetic substances.
In the presence of magnetic field, the individual atomic dipoles can get aligned in the direction of the applied magnetic field. Therefore, field lines get concentrated inside the material and the field inside is enhanced near paramagnetic substances.
Magnetism and Matter Class 12 Important Questions Short Answer Type SA – II
Question 44.
Define the following using suitable diagrams :
(i) magnetic declination and
(ii) angle of dip. In what direction will a compass needle point when kept at the
(i) poles and
(ii) equator? (Comptt. Delhi 2015)
Answer:
Magnetic declination:
Angle between magnetic meridian and geographical meridian
Angle of dip : It is the angle which the magnetic needle makes with the horizontal in the magnetic meridian.
- Direction of compass needle is vertical to the earth’s surface at poles.
- Parallel to the earth’s surface at equator.
Magnetism and Matter Class 12 Important Questions Long Answer Type
Question 45.
(a) A small compass needle of magnetic moment ‘m’ is free to turn about an axis perpendicular to the direction of uniform magnetic field ‘B’. The moment of inertia of the needle about the axis is ‘I’. The needle is slightly disturbed from its stable position and then released. Prove that it executes simple harmonic motion. Hence deduce the expression for its time period.
(b) A compass needle, free to turn in a vertical plane orients itself with its axis vertical at a certain place on the earth. Find out the values of
- horizontal component of earth’s magnetic field and
- angle of dip at the place. (Delhi 2013)
Answer:
(a) This is done by placing a small compass needle of known magnetic moment m and moment of inertia I and allowing it to
(b) Since, the compass needle is oriented vertically
- Horizontal component of earth’s magnetic field will be zero.
- The value of angle of dip at that place will be 90°.



















