Short Answer Type Questions
Q1. What is the structure and IUPAC name of glycerol?
Answer:
Glycerol is a trihydric alcohol. The structure of glycerol is
So, IUPAC name is — propan- 1, 2, 3-triol.
Q2. Write the IUPAC name of the following compounds.
Answer:
The IUPAC name for the compounds is given below.
(a) 3-ethyl-5-methylhexane-2,4-diol
(b) 1-methoxy-3-nitrocyclohexane
Q3. Write the IUPAC name of the compound given below.
Q4. Name the factors responsible for the solubility of alcohols in water.
Answer:
- Hydrogen bonds – Because of their propensity to create hydrogen bonds with water molecules or intermolecular hydrogen bonding, alcohols are soluble in water.
- Size of the alkyl or aryl groups – The solubility of alcohols in water diminishes as the size of the alkyl or aryl groups grows larger. The presence of intermolecular hydrogen bonding between alcohol molecules makes low molecular mass alcohols liquid in water.
- Molecular mass of the Alcohols – It reduces the effect of the polar character of the –OH group of alcohol with an increase in the alkyl group of alcohol or in the case of large molecular mass alcohols. As a result, as the molecular size of an alcohol increases, its solubility drops, therefore alcohols with lower molecular masses are more soluble than alcohols with larger molecular masses.
Q5. What is denatured alcohol?
Answer:
Denatured alcohol is ethanol (ethyl alcohol) that has been made unfit for human consumption by adding another chemical to it. Denaturing refers to removing a property from the alcohol (being able to drink it), not chemically altering or decomposing it. There are hundreds of ways ethanol is denatured. Denatured alcohol that is intended for use as a fuel or solvent typically contains 5% or more methanol.
Q6. Suggest a reagent for the following conversion.
Q7. Out of 2-chloroethanol and ethanol which is more acidic and why?
Answer:
The acidity of 2-chloroethanol is higher than that of ethanol. The Cl atom have electron-withdrawing nature so it will withdraw the electron density from the O-H bond thus making the O-H bond weak. As a result, the O-H bond of 2-chloroethanol weakens compared to the O-H bond of ethanol. As a result, 2-chloroethanol is acidic in comparison to ethanol.
Cl ← CH2 ← CH2 ← O ← H > CH3 → CH2 → O → H
Stronger acid due to the -I effect of Cl.
Q8. Suggest a reagent for conversion of ethanol to ethanal.
Answer:
Ethanol can be oxidized into ethanal by using pyridinium chlorochromate.
Q14. Alcohols react with active metals e.g. Na, K etc. to give corresponding alkoxides. Write down the decreasing order of reactivity of sodium metal towards primary, secondary and tertiary alcohols.
Answer:
The +I effect is produced by an electron releasing group, which raises the electron density on oxygen while decreasing the polarity of the O-H bond. The electron density on the O-H bond increases as the number of alkyl groups grows from one to three alcohols.
When going from one to three alcohols, the polarity will decrease and the strength of the O-H bond will grow.
As we all know, sodium metal is basic in nature, whereas alcohols are acidic. As a result, as the acidic strength lowers, the reactivity of alcohol with sodium metal reduces. As a result, the right sequence is 1>2>3.
Q15. What happens when benzene diazonium chloride is heated with water?
Answer:
The phenol is formed. When benzene diazonium chloride is heated with water, it produces phenol as well as nitrogen gas and hydrochloric acid as by-products.
Q17. Name the enzymes and write the reactions involved in the preparation of ethanol from sucrose by fermentation.
Answer:
Invertase and zymase are enzymes that are utilised in the fermentation process to convert sucrose to ethanol.
Sucrose is transformed to glucose and fructose by the enzyme invertase, and then glucose and fructose are turned to ethanol in the presence of zymase. The following is the response that occurs during the process:
C12H22O11 + H2O → C6H12O6 + C6H12O6
C6H12O6 → 2CH3CH2OH(Ethanol) + 2CO2
Q18. How can propan-2-one be converted into tert-butyl alcohol?
Answer:
Propan-2-one is a ketone when treated with Grignard reagents that give tertiary alcohols.
Q19. Write the structures of the isomers of alcohols with molecular formula C4H10O. Which of these exhibits optical activity?
Answer:
Four isomers of alcohols with molecular formula C4H10O can be obtained. These isomers exhibit optical activity. They are
- Butan-1-ol
- 2-Methylpropan-1-ol
- 2-methylpropan-2-ol
- Butan-2-ol
Q20. Explain why the OH group in phenols is more strongly held as compared to OH group in alcohols.
Answer:
The phenol –OH group is directly attached to the benzene ring’s sp2 hybridized carbon atom. The carbon-oxygen bond length in phenol is shorter than that in alkyl alcohol, which is owing to the partial double bond character of phenol or to the resonance and charge distribution in phenol. As a result, the OH group in phenols is retained more strongly than the OH group in alcohols.
Q21. Explain why nucleophilic substitution reactions are not very common in phenols.
Answer:
The OH group in phenols is a powerful electron donor. As a result, the benzene ring’s electron density is quite high, and it repels nucleophiles. To put it another way, nucleophiles are unable to approach the benzene ring, hence phenols rarely undergo nucleophilic substitution reactions.
Q22. Preparation of alcohols from alkenes involves the electrophilic attack on alkene carbon atoms. Explain its mechanism.
Answer:
To prepare alcohols from alkene in the presence of sulphuric acid through the process of hydration of alkenes.
Direct hydration takes place by adding water in the presence of a catalyst.
Q23. Explain why is O=C=O nonpolar while R-O-R is polar.
Answer:
The dipole moments of the two C=O bonds are exactly equal and opposite, making O=C=O nonpolar. As a result, they cancel each other out, resulting in a net dipole moment of zero for O=C=O. Because the form of this compound is non-linear, the net dipole moment of R—O—R is not equal to zero, and hence R—O—R is polar in nature.
Q24. Why is the reactivity of all the three classes of alcohols with conc.HCI and ZnCl2 (Lucas reagent) different?
Answer:
Alcohols react with Lucas reagent (conc. HCl and ZnCl2) using the SN1 mechanism. The stability of carbocations is required for the SN1 mechanism to occur (intermediate). The alcohol is more reactive when the intermediate carbocation is more stable.
Tertiary carbocations are most stable among the three classes of carbocations and the order of the stability of carbocation is 3∘>2∘>1∘. This order, intrun, reflects the order of reactivity of three classes of alcohols i.e., 3∘>2∘>1∘.
As a result of the differences in carbocation stability, the reactivity of all three types of alcohols with Lucas reagent varies.
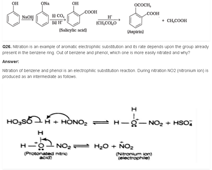
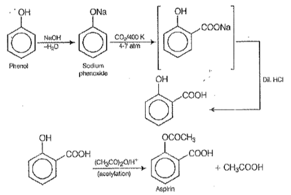
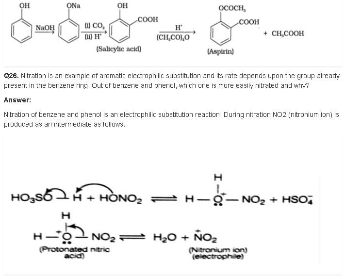
Q25. Write steps to carry out the conversion of phenol to aspirin.
Answer:
The phenoxide ion is created by treating phenol with NaOH. Phenoxide ion then undergoes electrophilic substitution with CO2 to yield salicylic acid as the major product. This is called Kolbe’s reaction. After that, the acetylation of salicylic acid yields aspirin, which is a significant product.
Phenol is more easily nitrated than benzene as the presence of the -OH group in phenol increases the electron density at ortho and para positions in the benzene ring by + R effect. Since the electron density is more in phenol than in benzene, therefore, phenol is more easily nitrated than benzene.
Q27. In Kolbe’s reaction, instead of phenol, phenoxide ion is treated with carbon dioxide. Why?
Answer:
Phenoxide ion is more reactive than phenol towards electrophilic aromatic substitution and hence undergoes electrophilic substitution with carbon dioxide which is a weak electrophile.
Q28. The dipole moment of phenol is smaller than that of methanol. Why?
Answer:
In phenol, carbon is sp2 hybridised and due to this reason the benzene ring is producing electron-withdrawing effect.
On the other hand, carbon of methanol is sp3 hybridised and produces an electron releasing effect (+ effect) Thus, C – O bond in phenol is less polar than the C – O bond in methanol and therefore, the dipole moment of phenol (1.54 D) is smaller than that of methanol (1.71 D).
Q29. Ethers can be prepared by Williamson synthesis in which an alkyl halide is reacted with sodium alkoxide. Di-tert-butyl ether can’t be prepared by this method. Explain.
Answer:
In order to prepare di-tert- butyl ether, sodium tert-butoxide must be reacted with tert – butyl bromide. Alkoxides are not only nucleophiles but they are strong bases as well. They react with
3∘ alkyl halides leading to the elimination reaction.
When tert – butyl- bromide reacts with sodium tert-butoxide instead of substitution, elimination takes place. As a result of this elimination reaction, Isobutylene is formed instead of di – tert butyl ether.
Q30. Why is the C-O-H bond angle in alcohols slightly less than the tetrahedral angle whereas the C-O-C bond angle ether is slightly greater?
Answer:
The bond angle in C−:O:−H in alcohols is slightly less than tetrahedral angle (108.9). It is due to the repulsion between the unshared electron pairs of oxygen. In alcohols, two lone pairs of electrons are present. Therefore, there is comparatively more repulsion and less bond angle.
The C-O-C bond angle (111.7∘) in ether is slightly greater than the tetrahedral angle due to the repulsive interaction between the two bulky (- R) groups.
Q31. Explain why low molecular mass alcohols are soluble in water.
Answer:
The solubility of alcohols and phenols in water is due to their ability to form hydrogen bonds with the water molecule. The hydrocarbon part methoxymethane (i.e., R group) tends to prevent the formation of hydrogen bonds.
Alcohols with lower molar mass will have smaller hydrocarbon parts and therefore tend to form hydrogen bonding more and they are more soluble in water.
The ethoxide ion formed after removing a proton, on the other hand, is not stabilised but destabilised due to the + I action of the -C2H5 group. As a result, phenol is a more powerful acid than ethanol.
Because the electron-releasing ethyl group increases the ethanol density of oxygen, ethanol is a weaker acid than water. As a result, the proton is not easily released. In ethanol, the CH3CH2 group increases the electron density on the O – H bond. Ethanol has a higher electron density on its O – H bond than water. In the case of water, there is no such effect.
Thus, the increasing order of acidity is ethanol < water < phenol.
Long Answer Questions
Q1. Write the mechanism of the reaction of HI with methoxybenzene.
Answer:
In case of alkyl aryl ethers, the products are always phenol and an alkyl halide because due to resonance C6H5-O bond has a partial double bond character. The mechanism is given below.
Mechanism Protonation of anisole gives methyl phenyl oxonium ion.
Q2. (a) Name the starting material used in the industrial preparation of phenol.
(b) Write a complete reaction for the bromination of phenol in an aqueous and non-aqueous medium.
(c) Explain why Lewis acid is not required in the bromination of phenol?
Answer:
(a) The starting material used in the industrial preparation of phenol is cumene.
(b) Phenols when treated with bromine water give polyhalogen derivatives in which all the hydrogen atoms present at ortho and para positions with respect to the -OH group are replaced by bromine atoms.
In an aqueous solution, phenol ionises to form phenoxide ions. This ion activates the benzene ring to a very large extent and hence the substitution of halogen takes place at all three positions.
(c) In bromination of benzene, Lewis acid is used to polarise Br2 to form the reactive electrophile, Br+. In case of phenol, Lewis acid is not required because the O-atom of phenol itself polarises the Br2 molecule to form Br+ ions. further, the +R-effect of OH group makes phenol highly activated towards electrophilic substitution reactions.
Mechanism of bromination of phenol.
Mechanism of bromination of benzene:
Q3. How can phenol be converted to aspirin?
Answer:
Allowing sodium phenoxide to absorb carbon dioxide and then heating the result to 400 K and 4-7 atm pressure is the typical procedure. The first unstable intermediate is generated, and it undergoes a proton shift to become sodium salicylate. Salicylic acid is produced as a result of the acidification of sodium salicylate.
As a result, phenol is transformed into salicylic acid. Acetic anhydride is used to treat this salicylic acid. Aspirin (acetylsalicylic acid) is generated when salicylic acid is acetylated
Q4. Explain a process in which a biocatalyst is used in industrial preparation of a compound known to you.
Answer:
Biocatalysts are enzymes. These biocatalysts (enzymes) are utilised in the production of ethanol in industry. Ethanol is made by fermenting molasses, a dark brown coloured syrup left behind after sugar crystallisation that still contains around 40% sugar.
Fermentation is the process of breaking down big molecules into smaller ones in the presence of enzymes. Yeast is the source of these enzymes. The numerous reactions that occur during carbohydrate fermentation are listed below.


























